藍掉隊星(Blue Straggler Stars,BSS)是一種看起來比實際年齡年輕許多的神祕恆星,長久以來是令人困惑的存在。它們的名稱來自於它們在赫羅圖(Hertzsprung–Russell diagram)中的位置,藍掉隊星出現在星團中,與同年齡的星團成員相比,它們更熱、也更藍,在數十年前被發現至今仍對它們的成因沒有定論。

▲ M55球狀星團的赫羅圖。圖片顯示了藍掉隊星單獨落後於星團其他成員。(Source:NASA)
球狀星團主要由年老、偏紅的恆星組成,每個星團都有一個主序帶轉折點,代表恆星停止核心氫融合、離開主序帶並演化為巨星的階段。但藍掉隊星並不遵循這一規律,當其他恆星逐漸變紅、膨脹並降溫時,藍掉隊星卻依然保持藍色、高溫與高亮度。
它們唯一能做到這一點的方式,只有在某個階段獲得額外的質量,第一種方式是恆星碰撞,兩顆恆星彼此碰撞並合併,形成一顆質量更大的恆星。在球狀星團核心區域,恆星密度非常高,因此在這種擁擠環境中發生恆星合併的機率也較高;第二種可能性是雙星系統的質量轉移,當其中一顆恆星演化成巨星後,其重力束縛變弱無法維持自身的物質,此時伴星可能會吸積這些物質,因而增加質量並演化成藍掉隊星。
一項發布於《自然通訊》的新研究利用哈伯太空望遠鏡,研究了銀河系中48個不同的球狀星團中的藍掉隊星。他們建立了迄今為止最大的藍掉隊星目錄,試圖判斷球狀星團中高密度環境是否真的有利於恆星碰撞所形成的藍掉隊星。在他們研究的星團中,有些只包含12顆藍掉隊星,而有些則多達179顆,總數達3,419顆。

▲ 研究團隊展示在48個球狀星團中歸納出的3,419顆藍掉隊星。(Source:Nature Communications,下同)
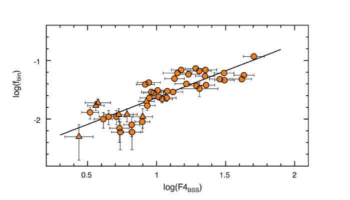
研究團隊假設在像球狀星團這樣動力學活躍的系統中,由碰撞形成的藍掉隊星數量應該隨著局部密度與恆星交會率的增加而上升。然而結果顯示,在星團中心等高密度區域,藍掉隊星反而較少,而在密度較低的區域則較多。這些結果削弱了恆星碰撞是藍掉隊星主要來源的觀點,強化了雙星質量轉移的假說。因為在密度較低的區域,雙星系統更容易長時間存活。儘管藍掉隊星比例與雙星比例呈現一定相關性,並不代表它們之間存在物理關聯,但這種相關性其他恆星族群無法重現,這一點支持藍掉隊星與雙星之間的連結。
這項研究提供了一種全新的方式,來理解恆星在數十億年尺度上的演化歷程。它顯示,即使是恆星,其生命也會像地球上的生物一樣,受到環境條件的塑造。

▲ 研究團隊展示銀河系球狀星團中雙星系統的比例(Y軸)與藍掉隊星的比例(X軸)。






